资源笔记
  1. 首页
  2. 技术博文
Ribbon过滤器原理解析
Ribbon过滤器整体看是一个矩阵构建与矩阵乘法,RocksDB中对它的实现是进行了合理的空间、时间上的优化的。 符号 整个过滤器都和矩阵计算CS=R相关,C是(n*n)矩阵,S是(n*m)矩阵,R是(n*m)矩阵。 这里为了方便讨论定义:三个哈希函数s(x),c(x),r(x)
Ribbon过滤器原理解析 图1
Ribbon过滤器原理解析 图2
Ribbon过滤器原理解析 图3
笔记哥 06/01/2025
图论中的最小生成树基础解析
简介 首先给出生成子图的定义(From OI Wiki): 嗯……有点抽象,不妨简化一下: 有一个图 (G),如果删去 (G) 中的若干条边与若干个点得到一个图 (G'),且图 (G') 还保证连通,则称 (G') 为 (G) 的生成子图。 那么显然,如果 (G') 是一棵树,那
图论中的最小生成树基础解析 图1
图论中的最小生成树基础解析 图2
图论中的最小生成树基础解析 图3
笔记哥 04/23/2025
图解算法:按之字形顺序打印二叉树( Z字形、锯齿形遍历)
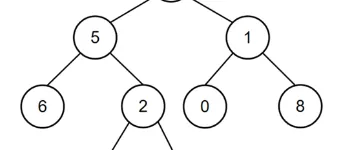
1. 题目 描述 给定一个二叉树,返回该二叉树的之字形层序遍历,(第一层从左向右,下一层从右向左,一直这样交替) 数据范围:0≤n≤1500,树上每个节点的val满足 |val| <= 1500 要求:空间复杂度:O*(*n),时间复杂度:O(n) 例如: 给定的二叉树是{
图解算法:按之字形顺序打印二叉树( Z字形、锯齿形遍历) 图1
图解算法:按之字形顺序打印二叉树( Z字形、锯齿形遍历) 图2
图解算法:按之字形顺序打印二叉树( Z字形、锯齿形遍历) 图3
笔记哥 04/23/2025
  • 1
  • 热门的技术博文资源
  • 1 . ESP实现Web服务器
  • 2 . 从零到一:打造高效的金仓社区 API 集成到 MCP 服务方案
  • 3 . 使用C#构建一个同时问多个LLM并总结的小工具
  • 4 . .NET 原生驾驭 AI 新基建实战系列Milvus ── 大规模 AI 应用的向量数据库首选
  • 5 . 在Avalonia/C#中使用依赖注入过程记录
  • 6 . [设计模式/Java] 设计模式之工厂方法模式
  • 7 . 5. RabbitMQ 消息队列中 Exchanges(交换机) 的详细说明
  • 8 . SQL 中的各种连接 JOIN 的区别总结!
  • 9 . JavaScript 中防抖和节流的多种实现方式及应用场景
  • 10 . SaltStack 远程命令执行中文乱码问题
  • 11 . 推荐10个 DeepSeek 神级提示词,建议搜藏起来使用
  • 12 . C#基础:枚举、数组、类型、函数等解析
  • 13 . VMware平台的Ubuntu部署完全分布式Hadoop环境
  • 14 . C# 多项目打包时如何将项目引用转为包依赖
  • 15 . Chrome 135 版本开发者工具(DevTools)更新内容
  • 16 . 从零创建npm依赖,只需执行一条命令
  • 17 . 关于 Newtonsoft.Json 和 System.Text.Json 混用导致的的序列化不识别的问题
  • 18 . 大模型微调实战之训练数据集准备的艺术与科学
  • 19 . Windows快速安装MongoDB之Mongo实战
  • 20 . 探索 C# 14 新功能:实用特性为编程带来便利
  • 最新资源
  • 1 . 聊聊常见的几款Agent平台:字节Coze、腾讯元器、文心智能体
  • 2 . JavaScript 循环结构注意事项
  • 3 . 最快的流媒体服务器搭建 smart_rtmpd
  • 4 . 飞牛OS给容器魔方上行宽带限速
  • 5 . 1 分钟生成架构图?程序员 AI 绘图保姆级教程
  • 6 . FFmpeg开发笔记 Windows给FFmpeg集成H.266编码器vvenc
  • 7 . 精选 12 款开源、免费、美观的 Vue 后台管理系统模板!
  • 8 . K8s新手系列之指定Pod调度到指定节点上
  • 9 . Ubuntu部署tensorflow(CPU/GPU)方法
  • 10 . CentOS 7.* 安装最新版nginx1.28*
  • 11 . Ribbon过滤器原理解析
  • 12 . Pod调度之亲和性
  • 13 . K8s新手系列之探针
  • 14 . 如何实现本地大模型与MCP集成
  • 15 . K8s集群中的DNS服务(CoreDNS)详解
  • 16 . 使用Vditor将Markdown文档渲染成网页(Vite+JS+Vditor)
  • 17 . Redis主从复制详解
  • 18 . 【对称加密】DES与AES算法详解及Java实现
  • 19 . Redis持久化机制
  • 20 . JavaScript 各种对象定义与对象取值方法
备案号: 蜀ICP备2023000047号-1    联系邮箱: 524313162@qq.com   
版权声明: Copyright 2024- 2026 www.knowhub.vip Inc. All Rights Reserved. [knowhub.vip] © 2026 - 资源笔记